大气边界层与城市气象研究团队在复杂建筑形态城市冠层模型研制方面取得新进展
发布时间:2026-03-16
|
来源:大气物理学院
|
作者:薛勇
|
责编:张天意
近日,金年会大气边界层与城市气象研究团队在复杂建筑形态城市冠层深度学习建模研究方面取得新进展,相关论文题为“Deep Learning-based Urban Canopy Model for Complex Building Morphologies”,发表于国际权威期刊《Journal of Advances in Modeling Earth Systems》。论文第一作者为大气物理学院研究生孟新杰,通讯作者为王咏薇副教授和杨元建教授。
城市冠层模型是天气与气候模式中描述城市下垫面与大气相互作用的重要参数化方案,其性能直接影响城市能量交换、城市热环境以及城市气象预报结果的准确性。然而,传统城市冠层模型通常需要对复杂建筑形态进行简化处理,难以同时兼顾物理过程刻画能力与计算效率。特别是在城市建筑高度、密度、绿地比例等形态参数差异显著的条件下,如何建立兼具普适性、稳定性和高效率的新型城市冠层模型,已成为该领域的重要研究问题。
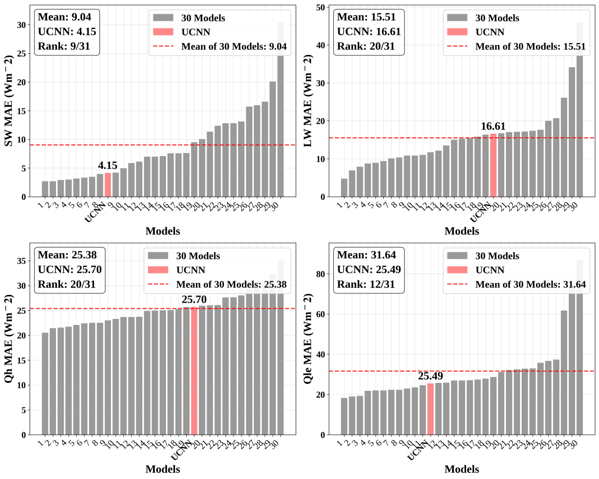
针对这一问题,研究团队提出了一种面向复杂建筑形态的深度学习城市冠层模型UCNN(Urban Canopy Neural Network)。首先,基于经典城市冠层模型TEB构建了5000组不同建筑形态参数组合,并结合全球二十多个城市通量塔观测数据,生成了大规模训练样本。随后,利用独立站点观测资料对模型泛化能力进行了系统检验。结果表明,UCNN不仅能够较好学习传统物理模型的能量交换规律,而且在多个独立城市站点上表现出良好的稳定性和泛化能力。与原始TEB模型相比,UCNN在保持较高模拟精度的同时,计算效率提升显著,推理速度约提高5倍。在上行短波辐射、上行长波辐射、感热通量和潜热通量等关键能量通量模拟中,模型均取得了较好效果,部分指标达到或优于现有主流城市冠层模型的平均水平。该研究表明,深度学习方法在复杂城市下垫面参数化方面具有良好的应用潜力,可为未来天气和气候模式中的城市过程表示提供新的技术路径。研究成果为复杂建筑形态条件下城市冠层模型的智能化发展提供了新的思路。
论文资讯及链接:https://doi.org/10.1029/2025MS005483

图1 UCNN模型训练流程与结构示意图。该图展示了训练数据生成、模型输入输出变量以及神经网络结构。

图2 UCNN在Preston站点与30个主流城市冠层模型的对比结果。结果表明,该模型在上行短波辐射和潜热通量等指标上达到或优于主流模型平均水平。